Lumen Fidei, l’Enciclica sulla fede di Papa Francesco da Nietzsche… all’equazione Wheeler- DeWitt. E sulla Chiesa dei Poveri.
di Rina Brundu. Un sottotitolo provocatorio (ma non irriverente) per questo scritto potrebbe anche essere: Santità non sono Scalfari ma la sua Enciclica l’ho letta anche io. Un miracolo in sé! Non mi ero mai confrontata con un’Enciclica papale prima e mai avrei pensato che un giorno mi sarei presa la briga di acquistarne una e di leggerla anche con una certa curiosità. Per i non addetti e per coloro che volessero provarsi in questo medesimo cimento, dico soltanto che la parte più ardua del compito è quella di riuscire a trovare, dentro il testo, la sezione effettivamente scritta dal Papa. Il libro, infatti, per tanti versi somiglia ad una carrozza reale preceduta e seguita da scorte multiple, nel senso che Lumen Fidei si presenta con una introduzione titolata La luce della fede a cura di Bruno Forte e seguita da ben sei commenti, esegesi, interpretazioni, delucidazioni offerte da Roberto Rusconi, Piero Stefani, Fulvio De Giorgi, Giovanni Santombrogio, Salvatore Natoli.
Ma come Santità, non si fidano della Sua capacità di spiegarsi?
Con tutto il rispetto per questi signori ho saltato l’introduzione e i commenti e ho letto la sola Enciclica e di questo lavoro voglio parlare nell’articolo che segue.
Lumen Fidei. Sulla struttura e sulla metafora della Fede che è luce. E che è “madre”.
La Lettera Enciclica Lumen Fidei del Sommo Pontefice Francisco ai vescovi ai presbiteri e ai diaconi alle persone consacrate e a tutti i fedeli laici sulla fede si compone di cinque parti.
– Un’introduzione
– Un capitolo primo titolato “Abbiamo creduto all’amore”.
– Un capitolo secondo titolato “Se non crederete, non comprenderete”.
– Un capitolo terzo titolato “Vi trasmetto quello che ho ricevuto”.
– Un capitolo quarto titolato “Dio prepara per loro una città”.
Senza entrare troppo nel dettaglio delle tematiche trattate in ciascuna sezione preferisco riportare in questa prima parte del mio articolo una visione complessiva, o comunque il mio intendimendo delle questioni trattate dal sommo Pontefice.
Nell’incipit Papà Francesco pone subito al centro del suo discorso la questione de “La luce della Fede” e della Fede che è Luce. Ricorda che il dio sole adorato dai pagani (Sol invictus) non è mai stato capace di illuminare veramente l’intera esistenza dell’uomo. Altra cosa, altra luce sarebbe quella che porta la Fede perché “chi crede vede”. La Fede non fa equazione col buio. Francesco lamenta come l’uomo moderno abbia dimenticato la verità e svilito le potenzialità di questo dono di Dio. Cita Nietzsche. “Il giovane Nietzsche invitava la sorella Elisabeth a rischiare, percorrendo “nuove vie… nell’incertezza del procedere autonomo”. E aggiungeva: “A questo punto si separano le vie dell’umanità: se vuoi raggiungere la pace dell’anima e la felicità, abbi pur fede, ma se vuoi essere un discepolo della verità, allora indaga”. Il credere si opporrebbe al cercare. A partire da qui Nietzsche sviluppera’ la sua critica al cristianesimo per aver sminuito la portata dell’esistenza umana, togliendo alla vita novità e avventura”.
Il Pontefice spiega così come da quel tempo in poi la Fede sia stata vista come un “salto nel vuoto”, sebbene “la luce della ragione autonoma non riesce a illuminare il futuro”. Senza la luce della Fede si sprofonda nella confusione, senza quella particolare fiamma anche tutte le altre fiammelle si spengono. Francesco cita Dante, ricorda l’esempio dei primi cristiani per i quali la Fede in quanto incontro con Dio era “madre” e prima di chiudere la sua introduzione scrive che “Fede, speranza e carità costituiscono, in un mirabile intreccio, il dinamismo dell’esistenza cristiana verso la comunione piena con Dio”.
All’inizio del primo capitolo il Papa focalizza su un concetto che ripeterà diverse volte nel proseguo del suo lavoro: la Fede è legata all’ascolto, “Abramo non vede Dio, ma sente la Sua voce. In questo modo la Fede assume un carattere personale”. Il Dio di tutti diventa il Dio dell’individuo e quindi si fa più vicino. La Parola, sostiene Francesco, diventa chiamata e promessa, invito ad aprirsi ad una vita nuova. La Fede è atto di memoria, è porta aperta verso il futuro (memoria futuri) ed è strettamente legata alla speranza. Francesco cita Sant’Agostino: “L’uomo fedele è colui che crede a Dio che promette; il Dio fedele è colui che concede ciò che ha promesso all’uomo”.
Francesco ricorda che, molto spesso, alla Fede in Dio si preferisce “l’idolo”. L’idolo che diventa un pretesto per porre noi stessi al centro della realtà. Di converso Dio offre la Fede come dono “chiedendo il coraggio di fidarsi e di affidarsi”. L’origine della bontà è Dio e chi opera senza Dio, anche quando compie opere buone, è destinato ad una vita sterile come quella “dell’albero lontano dall’acqua”.
Francesco cita Dostoevskij e più avanti asserisce che “La nuova logica della Fede è centrata sul Cristo”.
Siamo al secondo capitolo e Francesco cita Wittgenstein che ha spiegato la connessione tra la Fede e la certezza: “Credere sarebbe simile, secondo lui, all’esperienza dell’innamoramento, concepita come qualcosa di soggettivo, improponibile come verita’ valida per tutti”.
Francesco cita “Il beato Giovanni Paolo II, (che) nella sua Lettera Enciclica Fides et Ratio, ha mostrato come fede e ragione si rafforzino a vicenda”. Francesco cita ancora Sant’Agostino che integra la ricerca della Ragione “nell’orizzonte della Fede”.
Subito dopo Francesco ricorda che credere significa mancare di arroganza, farsi umili, rifuggire la violenza; ricorda che credere vuol dire ricerca di Dio, ovvero di una vita più grande e più bella; ricorda l’origine e lo scopo esplorativo della teologia. Francesco cita San Paolo, affronta il problema della trasmissione della Fede di generazione in generazione, rimarca che è “impossibile credere da soli. La Fede… si apre per sua natura al “noi”, avviene sempre all’interno della comunione della Chiesa. Francesco ricorda che la Chiesa è “madre della nostra Fede”, analizza la Fede nel contesto familiare e la presenta come “forza consolante nella sofferenza”. Infine il Pontefice focalizza sulla necessità di pregare e chiude con una preghiera a Maria.
Lumen Fidei: alcune brevi considerazioni critiche. E sull’equazione Wheeler-DeWitt, l’equazione che ha ucciso il tempo
Non credo spetti a me offrire un commento critico di questo lavoro papale (anche perché come si è visto nell’incipit di commenti ne ha già avuti parecchi); come non bastasse io non sono il bravissimo dottor Scalfari e dunque la mia esegesi sarebbe al massimo un’interpretazione sui generis. La verità è che mentre leggevo il testo mi tornava alla mente un’altra convesazione tra il mitico Sheldon Cooper e la sua fidanzata Amy Farrah Fowler, gli inossidabili protagonisti della sit-com “The big bang theory” di Chuck Lorre e Bill Prady, sit-com dedicata al mondo della fisica quantistica. Siamo al primo incontro tra Sheldon e Amy e Sheldon ha casualmente introdotto il tema della religiosità procurando la seguente risposta da parte di Amy: “Non ho nulla da eccepire sul concetto di divinità, resto perplessa però davanti a una che richiede la presenza”. Un poco come a scuola, insomma.
Condivido le perplessità di Amy e per quanto mi sia sforzata di seguire il discorso sulla Fede fatto da Francesco, di ragionare sulle infinite citazioni che puntellano il suo scritto a supporto della tesi, la stessa tesi e la sua spiegazione non hanno operato il miracolo. Per quanto mi riguarda trovo invece bellissima e terribilmente profonda proprio la citazione del giovane Nietzsche che diceva alla sorella “Se vuoi raggiungere la pace dell’anima e la felicità, abbi pur fede, ma se vuoi essere un discepolo della verità, allora indaga”.
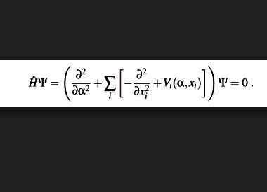
Come dirla altrimenti, magari restando nel campo della fisica teorica tanto cara a Sheldon Cooper? Per certi versi l’insegnamento impartito da Lumen Fidei si presenta ai miei occhi in posizione ossimorica rispetto a ciò che insegna l’equazione Wheeler-DeWitt, ovvero quell’equazione figlia dell’idea della meccanica quantistica che il comportamento di ogni elemento dalla particella subatomica all’intero universo possa essere dedotto dalla conoscenza della sua funzione d’onda (psi). Quest’equazione molto complessa, infatti, una volta risolta, non lascia spazio per il fattore-T, il tempo, o per dirla con il fisico Lee Smolin “L’universo quantistico è un universo senza cambiamento. Semplicemente è”.
Insomma l’equazione Wheeler-DeWitt, utilizzando il linguaggio dell’universo, la matematica, mi dice che non esiste una dimensione temporale che io però percepisco; di converso, Francesco, utilizzando la Parola – che sarà pure parola di Dio ma questo non è provato – vuole convincermi ad avere Fede in quel Dio creato da quella stessa Parola (seppure enunciata da infinite fonti, sagge e diverse) e che che io non percepisco altrimenti, non sentendomi per questo inferiore a chi lo sente o sa ascoltarlo.
Nel dubbio sto con la matematica! Anche perché il Dio che la matematica racconta non richiede “presenza” come direbbe Amy Farrah Fowler e più che Fede ispira quello che in inglese si chiama wonder, la meraviglia, sebbene il termine anglofono connoti quell’emozione-sensazione in maniera più appropriata.
Solo su un punto mi trovo pienamente d’accordo con Papa Francesco, ovvero sul fatto che la dottrina della Sua Chiesa dei Poveri che traspare e affiora all along in tutto il testo e ancor di più nei suoi comportamenti, e che non si hanno dubbi sgorga direttamente dal cuore di questo straordinario pontefice argentino, possa continuare, vivere e prosperare, perché oltre al fattore-tempo forse la suddetta equazione che spiega il comportamento dell’intero universo manca anche di un altro fattore importantissimo: l’amore. Quello, infatti, dobbiamo mettercelo noi!
Feature image, Lumen Fidei (cover) e l’equazione Wheeler-DeWitt.

You must be logged in to post a comment.