Mensa Italia e i paradossi del filosofo Zenone di Elea (V sec. a.C.)
Stefano Machera (Mensa Italia). Molti di noi ricordano dagli studi liceali un eccentrico filosofo greco, tal Zenone di Elea, che nel V sec. a. C. elaborò alcuni ingegnosi paradossi logici, che nelle sue intenzioni dovevano dimostrare che la comune concezione del moto nello spazio era fallace. Il più famoso di questi paradossi è quello in cui Zenone “dimostra” che il piè veloce Achille non raggiungerebbe mai una flemmatica tartaruga, perché nel tempo che Achille impiega per arrivare nel punto da cui la tartaruga è partita essa si è spostata, sia pure di poco, e questo fa sì che l’inseguimento continui all’infinito, senza mai terminare.
Zenone pensava davvero che nella realtà Achille non avrebbe raggiunto la tartaruga? Immagino di no: voleva presentare un ragionamento per assurdo, la cui premessa è in fondo la divisibilità all’infinito dello spazio, per cui non esiste una lunghezza così piccola che non possa essere divisa in infiniti intervalli più piccoli. Per Zenone questa premessa, insieme alla nozione del movimento nello spazio, generava un’assurdità logica.
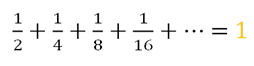
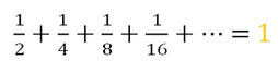
Come è noto, il problema fu risolto da Newton, grazie al calcolo differenziale: è vero che per raggiungere la tartaruga Achille deve percorrere un infinito numero di intervalli di spazio, ma la somma di questi infiniti intervalli sempre più piccoli non è infinita:
Quindi, apparentemente tutto risolto: lo spazio è infinitamente divisibile, e secondo Newton è una specie di “sfondo” immutabile, un palcoscenico sul quale si svolgono i fenomeni fisici che osserviamo. Tutto a posto, e Zenone è servito.
Peccato che le cose non stiano proprio così.
Lo dimostrò Einstein, all’inizio del secolo scorso, nel periodo più strabiliante che la Fisica abbia mai attraversato: lo spazio non è uno sfondo immutabile e “neutrale”. Lo spazio è relativo a ogni osservatore, e, peggio ancora, è un tutt’uno con la gravitazione, una delle forze fondamentali e ironicamente proprio quella dal cui studio Newton aveva tratto il suo maggiore trionfo. Eppure, anche secondo Einstein lo spazio è continuo e divisibile all’infinito; e anche le teorie di Einstein hanno un… tallone d’Achille.
Questo tallone d’Achille si evidenzia, e forse a questo punto non ne siamo sorpresi, quando si va ad applicare la teoria einsteiniana della Relatività Generale a porzioni di spazio sempre più piccole. La Relatività Generale funziona benissimo, infatti, su scala cosmologica e macroscopica; quando invece si scende nello spazio infinitesimale, la Relatività Generale si trova a dover fare i conti con l’altra grande teoria fisica del Novecento: la Meccanica Quantistica, la teoria che descrive il comportamento delle particelle elementari. Già, perché ciascuna delle due teorie, da sola, funziona benissimo: il problema si pone quando si prova a usarle insieme, cioè a calcolare l’interazione gravitazionale tra due particelle puntiformi, ossia infinitamente piccole. Il risultato ricorda il paradosso di Zenone: una somma infinita di addendi, che però a differenza del distacco tra Achille e la tartaruga non diventano sempre più piccoli, e così la somma ha un risultato infinito. Qualcosa non funziona.
Per alcuni fisici, l’errore sta nel considerare le particelle puntiformi. Da questa idea è nata la Teoria delle Stringhe, secondo cui le “particelle” sarebbero in realtà delle microscopiche “cordicelle” vibranti. Dato che una Stringa ha una lunghezza piccolissima ma non nulla, non ha senso considerare una distanza tra due Stringhe inferiore alla loro lunghezza. Gli addendi della somma non sono più infiniti, e il problema è risolto.
Un’altra soluzione, che personalmente trovo più soddisfacente, è che in realtà lo spazio sia una grandezza emergente. Una grandezza emergente è una grandezza che si può misurare e definire solo in un sistema “sufficientemente grande”; un esempio che conosciamo bene è la Temperatura. Noi sappiamo bene cos’è la temperatura, abbiamo dei termometri per misurarla, eccetera; però mentre sappiamo misurare la temperatura di un corpo o di un certo volume di gas, non ha senso chiedersi quale sia la temperatura di un atomo, o di un elettrone. Questa grandezza ha senso per oggetti che contengono miliardi di molecole, e per essi la temperatura è un modo per riferirsi in realtà alla velocità media delle molecole che li compongono. In questo senso la Temperatura è emergente: “emerge” quando il numero di molecole diventa abbastanza grande da giustificare il fatto di studiarne le proprietà medie e non quelle delle singole molecole.
La stessa cosa potrebbe valere per lo spazio. Secondo una teoria (la Loop Quantum Gravity), un sistema fisico sarebbe semplicemente costituito da un certo numero di “particelle” in relazione tra loro. Non avrebbe senso parlare di “volume” occupato da una, due o tre particelle, proprio come non avrebbe senso parlare della loro temperatura; però se si considera un numero molto grande di particelle, allora si può definire un “volume” o un’ “area” che esse occupano. In questo modo, il problema della somma infinita sarebbe risolto perché lo spazio non sarebbe divisibile all’infinito: ci sarebbe una dimensione sotto la quale lo spazio non esiste, perché perde di significato. Lo spazio non sarebbe una grandezza fondamentale, ma emergente.
Insomma, forse avevamo liquidato con troppa sufficienza il vecchio Zenone: alla fine, potremmo scoprire che la sua allergia all’idea di oggetti che si muovono in uno spazio divisibile all’infinito era fondata…
Featured image fonte S. Machera. Figura di Achille tratta dal sito http://areeweb.polito.it



You must be logged in to post a comment.