De Pretto e Einstein: l’equivalenza massa energia (quarta parte)
di Umberto Bartocci (continua dalla terza parte). Dopo questi due lunghi Capitoli di carattere teoretico ritorniamo adesso finalmente a discutere l’oggetto principale di questo libro, vale a dire il secondo dei lavori relativistici di Einstein del 1905, al quale faremo riferimento con la lettera B. Esso era intitolato “Ist die Trägheit eines Körpers von seinem Energiegehalt abhängig?”, ovvero “L’inerzia di un corpo è dipendente dal suo contenuto di energia?”, e pervenne per la pubblicazione alla stessa rivista in cui comparve A appena tre mesi dopo, nel Settembre del 1905 (ed apparve nel successivo volume, il N. 18).
A questo secondo lavoro è stata dedicata una assai minore attenzione critica rispetto a quella viceversa offerta ad A, circostanza questa tanto più sorprendente quando si ponga attenzione al fatto che in esso è contenuta quella che il già citato S. Goldberg – per non basarci soltanto sull’opinione comune, e menzionare uno degli storici più eminenti della teoria della relatività – riconosce come la più celebre di tutte le equazioni della fisica. Con essa si esprime oggi, come abbiamo già detto, la completa, totale trasformabilità della massa in energia, e viceversa. Per esprimerci in parole semplici, ed a prescindere dall’aspetto quantitativo, l’equazione oggetto della nostra attenzione sta a significare qualitativamente che è possibile ricavare da qualsiasi corpo una energia, in una qualsiasi delle sue possibili forme, pari alla enorme quantità indicata nella formula di Einstein; e, inversamente, che un’energia può ‘scomparire’ per dar luogo al suo posto a nuova materia. Sono celebri a questo riguardo le moderne esperienze della fisica delle particelle, nella quale tali ‘trasmutazioni’ avvengono continuamente, quando ad esempio luce si trasforma in elettroni (che viceversa la materia possa emettere della luce, se sollecitata in certe condizioni, è esperienza tra le più comuni per ciascuno di noi). E’ ovvio allora che l’equazione in oggetto ha anche il ruolo di fornire sostanzialmente una concezione unitaria del peraltro complesso concetto di energia, tenuto conto delle molteplici forme con le quali essa si può manifestare.
Ritornando al confronto tra i due lavori A e B, e tanto per fare almeno un esempio significativo per illustrare la ben differente attenzione critica ed epistemologica posta nei confronti dei due, A.I. Miller, nel suo profondo e documentato Albert Einstein’s Special Theory of Relativity (Addison-Wesley, Reading, Mass., 1981), mentre dedica pagine e pagine al primo dei due menzionati lavori, ne concede soltanto un paio al secondo.
La ragione di una tale relativo ‘silenzio’ può essere riconducibile a varie circostanze (senza peraltro trascurare la più banale, e cioè la mole di B rispetto ad A, ed il fatto che è in A che sono espressi i fondamenti della nuova concezione dello spazio e del tempo nella fisica).
Una prima è che la breve nota B del Settembre 1905 è stata ritenuta dalla maggior parte dei commentatori come una sorta di naturale corollario, un semplice ‘completamento logico’ del primo e più massiccio lavoro.
Una seconda è che il modo con il quale Einstein pervenne alla formulazione della equazione fondamentale contenuta in B non è immune da diverse critiche, tanto che in effetti più soddisfacenti deduzioni della stessa equazione sono state successivamente elaborate da diversi autori, tra i quali lo stesso Einstein, ed addirittura in qualche caso senza fare alcun ricorso alla teoria della relatività!
Invero, nonostante quello che comunemente si ritiene, in conseguenza delle informazioni che vengono interessatamente divulgate presso ‘il grande pubblico’, non c’è alcun bisogno di relatività per dedurre la famosa equazione di cui ci stiamo occupando: ciò è ormai chiaro non soltanto in virtù di quello che diremo in questo libro, ma grazie perfino, come abbiamo preannunciato, ad un lavoro dello stesso Einstein, il quale, molti anni più tardi, scrisse una nuova deduzione della E = mc2 su basi puramente classiche[1] (vedi: “Elementary derivation of the equivalence of mass and energy”, Bull. Am. Math. Soc., 41, 1935, pp. 223-230)! Come si può spiegare un tale ritorno sulle proprie origini scientifiche a 30 anni di distanza? Forse anche perché almeno quella ‘sua’ equazione si salvasse da un eventuale crollo della teoria della relatività, dovuto a qualche nuovo risultato sperimentale (circostanza questa che Einstein sembrò più di una volta sinceramente temere, senza tenere conto della spregiudicatezza teoretica e sperimentale degli altri suoi colleghi che si erano legati allo stesso carro relativistico)? O, forse, per una sorta di tardivo “rimorso”, simile a quello che abbiamo visto nei confronti della teoria dell’etere, anche se, dovremmo subito aggiungere alla luce delle considerazioni esposte in questo libro, più nei confronti della verità scientifica che non delle persone?
Comunque sia, proprio le dette due motivazioni avrebbero dovuto al contrario stimolare l’attenzione dei critici nei confronti anche del secondo ‘piccolo’ lavoro di Einstein, tre paginette in tutto. Ci si può chiedere infatti, a proposito della prima, come mai, se si tratta solo di una conseguenza logica delle argomentazioni contenute in A, essa non ha trovato posto nel primo articolo? E se invece, come ci sembra sia piuttosto il caso di ritenere, questa relazione tra massa ed energia è venuta in mente al suo autore soltanto dopo aver completato il primo lavoro – “almost an afterthought”, come intuisce correttamente Goldberg (p. 155) – quale può essere stato lo spunto che ha fornito ad Einstein l’occasione per il secondo scritto?
Ciò premesso, ed in ordine adesso invece alla seconda motivazione, quale il motivo della “fretta” con la quale è stato compilato B, che in effetti si presenta come un articolo che, da vari punti di vista, non è del tutto all’altezza del primo, tanto da essere stato considerato bisognoso di immediate successive revisioni?
E qui bisogna dire che in realtà la critica principale rivolta alla deduzione fornita in B, relativa ad una sorta di “giro vizioso” che sarebbe stato effettuato involontariamente da Einstein – critica che pure viene fatta propria da autorevoli commentatori quali Max Jammer[2], che parla addirittura di un “procedimento […] fondamentalmente errato”, e A.I. Miller (già citato), i quali entrambi accolgono un punto di vista espresso da H.E. Ives[3] – appare esagerata, secondo quanto rilevano invece più correttamente ad esempio J. Stachel e R. Torretti[4]. Resta comunque il fatto che la deduzione dell’equazione fondamentale fu oggetto di diversi lavori successivi a quello di Einstein, per i quali si rinvia per esempio alle opere citate di A. Pais e S. Goldberg.
Alle due domande precedenti possiamo aggiungerne anche una terza, di non minore interesse, a riprova del fatto che non tutto è stato ancora chiarito rispetto al lavoro in esame, e che una più approfondita indagine sarebbe pertanto auspicabile. Come mai il titolo di B è espresso nella forma interrogativa? Forse che il suo autore si sentiva egli stesso abbastanza incerto sulla validità di quanto stava asserendo? O si tratta di un semplice espediente di natura stilistica, un modo di fare così un anche soltanto implicito riferimento ad un’ipotesi già precedentemente formulata da altri su tale questione? Ed in questo caso, a chi si riferiva l’autore in particolare?
Per quanto riguarda la prima delle possibilità dianzi elencate, essa sembra trovare fondatezza nelle parole con le quali Einstein conclude in B le proprie argomentazioni, dicendo esplicitamente: “Non è escluso, che con corpi dei quali il contenuto di energia è variabile in alta misura (per es. con sali di radio) una prova della teoria possa riuscire”, e poi anche: “Se la teoria corrisponde alla realtà delle cose […] “. A. Pais (p. 148) riporta un passo di una lettera di Einstein a C. Habicht, nel quale, con l’ironia che non era certo assente dalla personalità del fisico tedesco, questi scrive: “The line of thought is amusing and fascinating, but I cannot know whether the dear Lord doesn’t laugh about this and has played a trick on me”.
L’altro interrogativo, concernente eventuali ‘precursori’, appare anch’esso di non poco conto, ed in qualche modo correlato alla possibilità di deduzioni non relativistiche della formula in discussione, ma bisogna ammettere che, quando si cerca di stilare una lista dei possibili anticipatori della equivalenza massa-energia, da Poincaré, Lorentz, Hasenöhrl, passando attraverso Stokes, Maxwell, Poynting, Boltzmann, J.J. Thomson, si è invero condotti a riconoscere il carattere assolutamente innovativo del lavoro di Einstein rispetto a quello di tutti questi possibili ispiratori[5].
Tanto per citare vere e proprie anticipazioni qualitative dell’equivalenza in oggetto, ricordiamo ad esempio le parole di Newton: “Non sono forse materia e luce convertibili l’una nell’altra, e non può la materia ricevere la maggior parte della propria attività dalle particelle di luce che entrano nella sua composizione? Il tramutarsi di materia in luce e di luce in materia è del tutto conforme al corso della Natura, che sembra deliziarsi di trasmutazioni” (Scritti di Ottica, 1717), e quelle di Laplace: “Ma se la luce è un’emanazione del Sole, la massa di questo astro deve diminuire senza sosta” (Meccanica Celeste, 1845).
Quella che però deve essere considerata del tutto innovativa da un punto di vista qualitativo, e non sembra potersi ritrovare in tutti questi possibili precursori, è l’ipotesi così arditamente avanzata della totale equivalenza tra massa ed energia, tanto più, si noti bene, in assenza ancora di un qualsiasi riscontro sperimentale sull’argomento[6]!
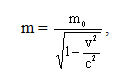
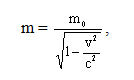
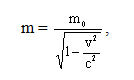
Ed in effetti, anche se l’equazione di Einstein può essere ritenuta equivalente, ma solo in ambito relativistico, alla altrettanto celebre formula che esprime la variazione della massa con la velocità:
e questa potrebbe essere a sua volta fatta rientrare in situazioni “analoghe” nelle quali veniva previsto un aumento della massa in funzione della velocità (ovvero di un aumento dell’inerzia al crescere dell’energia), come ad esempio nel caso di una carica elettrica in movimento a causa dell’auto-interazione con il campo da essa stessa generato (massa elettromagnetica), non sembra che tali proposte possano essere assimilate – a parte l’aspetto quantitativo che non è mai del tutto identico – all’ipotesi einsteiniana nella sua più genuina e piena interpretazione. Il già menzionato Pais (p. 159) sottolinea inoltre come anche in siffatto contesto il lavoro di Einstein presenterebbe peraltro la novità di un approccio puramente cinematico rispetto ad altri di carattere invece dinamico; ma ancor meglio i già citati Stachel e Torretti (autore quest’ultimo di un interessante Relativity and Geometry, Pergamon Press, 1983) rilevano che non è tanto il passaggio dal caso del corpo radiante a quello generale a dover essere valutato particolarmente ardito nella deduzione eisteiniana, quanto piuttosto la coraggiosa congettura, in virtù di quell’esempio particolare, che tutta la massa potesse essere così convertita in energia. In B Einstein scrive infatti apertamente che “Qui è evidentemente inessenziale che l’energia sottratta al corpo sia proprio andata in energia di radiazione, così che siamo condotti alla deduzione più generale […] “[7]. Cioè, ed è questo il punto sul quale ci soffermeremo specialmente in seguito nel raffronto tra la concezione di Einstein ed un’altra, che il termine
Eo = moc2
potesse essere fisicamente interpretabile come vera e propria energia latente in ogni corpo materiale.
Ad alcuni degli interrogativi qui formulati cercheremo nel seguito di dare risposta, arricchendo il palcoscenico nel quale si svolge la vicenda, peraltro già fin troppo affollato, con qualche nuovo personaggio. Uno di questi, nuovo e trascurato da tutti gli studi che abbiamo finora citato, sembrerebbe invece avere tutte le carte in regola per essere riconosciuto non soltanto quale uno dei precursori dell’equivalenza massa-energia, e per di più in modo identico a quello che abbiamo indicato come corretto sia da un punto di vista quantitativo che qualitativo, ma anche probabilmente quale protagonista di un ruolo ben più importante di quanto non voglia oggi essere riconosciuto nel fornire ad Einstein una precisa ispirazione per il suo lavoro B.
Stiamo naturalmente parlando di quell’Olinto De Pretto menzionato nel titolo, di cui cominceremo ad occuparci nel prossimo capitolo, e che collegheremo successivamente, ed in modo non troppo indiretto, ad Albert Einstein per il tramite di un grande amico personale del grande fisico, quel Michele Angelo Besso un cui ruolo ‘attivo’ nei riguardi di A è invece riconosciuto esplicitamente (anche se purtroppo non così ben chiarito, come la nostra curiosità potrebbe oggi volere, nelle sue effettive modalità).
Infatti, la celebre fondazione einsteiniana della teoria della relatività, priva per il resto di ogni altro preciso riferimento a studi scientifici o a persone, si conclude con le seguenti parole:
“A conclusione osservo che durante il lavoro ai problemi qui trattati il mio amico e collega M. Besso mi stette fedelmente a fianco e che io devo allo stesso parecchi preziosi incitamenti”.
Il ruolo di Michele Besso nella genesi della teoria della relatività einsteiniana, che è, come abbiamo detto, teoria notevolmente originale, nonostante le anticipazioni di scienziati quali Poincaré e Lorentz, è stato approfondito in vari studi critici, e lo stesso Einstein ebbe a ricordarlo in più di un’occasione. Ad esempio, nella già citata biografia di A. Pais è riportato (p. 139) un esplicito ricordo di Einstein in proposito. Tutte queste indagini puntano però la loro attenzione soprattutto sul primo dei due lavori di Einstein del 1905, mentre il secondo, che contiene appunto la celebre equazione, resta per così dire ‘nascosto’ all’ombra del ‘fratello maggiore’. Sarà invece proprio Michele Besso, il cui nome resta comunque nella storia della scienza per quella lusinghiera citazione al termine di A, la persona che indicheremo come quella che ebbe assai verosimilmente una parte non secondaria anche nella genesi di B (e forse proprio più di B che non di A), sperando che della fondatezza di questa ipotesi il lettore sarà persuaso come noi al termine della lettura del presente libro!
[1] Anche Piero Caldirola, in “Applicazioni e verifiche sperimentali della relatività ristretta” (in Cinquant’anni di Relatività, a cura di Michele Pantaleo, con una prefazione di A. Einstein, Sansoni Ed., Firenze, 1955, p. 402) ammette esplicitamente che: “L’equivalenza tra massa ed energia può essere assunta anche indipendentemente dai Postulati della Teoria della Relatività”.
[2] In Storia del concetto di massa nella fisica classica e moderna, Storia della Scienza, Feltrinelli, Milano, 1974, p. 181.
[3] “Derivation of the mass-energy relation”, Journal of the Opt. Soc. of America, 42, 1952, pp. 540-543.
[4] “Einstein’s first derivation of mass-energy equivalence”, Amer. J. Physics, 50, pp. 760-763.
[5] Anche per tale questione rimandiamo ai vari testi storico-critici che abbiamo finora menzionato, ai quali si può aggiungere anche il già citato articolo di P. Caldirola, il quale inserisce però erroneamente nella sua lista di possibili precursori non soltanto Kurt von Mosengeil (che era al tempo soltanto un allievo di Max Planck, sotto la supervisione del quale scrisse nel 1906 la sua tesi di dottorato, la prima in assoluto ad affrontare questioni di teoria della relatività – cfr. A. Pais, Loc. cit., p. 150), ma anche il fisico italiano Giovanni Giorgi, che non ci sembra invece aver mai dato contributi in questa direzione (e forse viene confuso dal Caldirola con il contemporaneo Augusto Righi, il quale comunque scrisse soltanto dopo il 1905 un “Sulla massa elettromagnetica dell’elettrone”, Il Nuovo Cimento, 12, 1906, pp. 247-266).
[6] Pierre Speziali (Albert Einstein Michele Besso Correspondance 19031955, Collection Histoire de la Pensée, Hermann, Paris, 1972; Collection Savoir, 1979, p. xxxii) menziona C.E. Guye, dell’Università di Ginevra, come il primo ad aver fornito una prova sperimentale dell’equazione in discussione nel 1917. Informiamo però che G.N. Lewis (Phil. Mag., 16, N. 95, 1908) riferisce tale formula a Maxwell ed alla sua teoria elettromagnetica, asserendo che in questo stesso senso sarebbe stata ribadita da Poynting, oltre che da Boltzmann quale applicazione delle leggi della termodinamica. Lo stesso autore aggiunge che essa “è stata verificata con rimarchevole precisione in una serie di esperimenti da Nichols e Hull”.
[7] In realtà, anche su questo aspetto Einstein si esprime in modo piuttosto cauto, e parla in B della massa di un corpo semplicemente come di una “misura” per il suo “contenuto in energia”, il che a rigore non è proprio la stessa cosa che stiamo dicendo.


You must be logged in to post a comment.