COSTANTE DI PLANCK: TRE INDIZI FANNO UNA PROVA?
Un intervento di Leonardo Rubino.
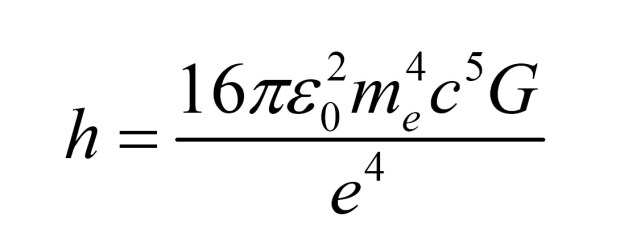
In questa immagine vi è l’espressione della Costante di Planck espressa in watt ed in funzione delle altre principali costanti universali:

Essa è sconosciuta alla fisica ufficiale!
Nel seguente file pdf vengono poi presentati tre interessanti indizi (versione italiana a pagina 2):

You must be logged in to post a comment.